网站首页  词典首页


请输入您要查询的字词:

 

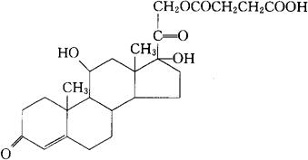
字词 琥珀酸氢化可的松
类别 中英文字词句释义及详细解析
释义 琥珀酸氢化可的松

C25H34O8=462.55

CAS-2203-97-6

皮质醇21-琥珀酸酯。

Cortisol 21-succinate.

肾上腺皮质激素类药。用于急性发作的气喘、阿狄森氏病的急性发作、播散性红斑狼疮等疾患的短期治疗。

氢化可的松琥珀酸酯。

Hydrocortisone Succinate,Hydrocortisone,Hemisuccinate,Hydrocortisone Hydrogen Succinate.

BP.

随便看

 

离鸟网收录3541549条中英文词条,其功能与新华字典、现代汉语词典、牛津高阶英汉词典等各类中英文词典类似,基本涵盖了全部常用中英文字词句的读音、释义及用法,是语言学习和写作的有利工具。

 

Copyright © 2004-2024 vtrois.com All Rights Reserved
更新时间:2026/4/7 18:10:50