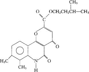
瑞吡司特
C20H21NO5=359.39 CAS-73080-51-0 5,6-二氢-7,8-二甲基-4,5-二氧代-4H-吡喃并[3,2c]喹啉-2-羧酸3-甲基丁酯。 5,6-Dihydro-7,8-dimethyl-4,5-dioxo-4H-pyrano[3,2-c]quinoline-2-carboxylic acid,3-methylbutyl ester. 5,6-二氢-7,8-二甲基-4,5二氧代-4H-吡喃并[3,2-c]喹啉-2-羧酸异戊酯。 Isopentyl 5,6-dihydro-7,8-dimethyl-4,5-dioxo-4Hpyrano[3,2-c]quinoline-2-carboxylate. 抗过敏药,平喘药。 Repirinast,MY-5116. INN,USAN,MI.  |