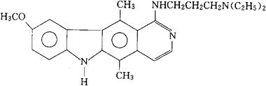
瑞替利汀
C25H32N4O=404.56 CAS-72238-02-9 N,N-二乙基-N′-(9-甲氧-5,11-二甲基-6H-吡啶并[4,3-b]咔唑-1-基)-1,3-丙烷二胺。 N,N-Diethyl-N′-(9-methoxy-5,11-dimethyl-6Hpyrido[4,3-b]carbazol-1-y1)-1,3-propanediamine. 1-[[3-(二乙氨基)丙基]氨基]-9-甲氧-5,11-二甲基-6H-吡啶并[4,3-b]咔唑。 1-[[3-(Diethylamino)propyl]amino]-9-methoxy-5,11-dimethyl-6H-pyrido[4,3-b]carbazole. 抗肿瘤药。 Retelliptine. INN,USAN.  |