瑞芬太尼
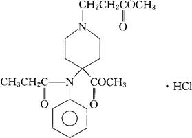
C20H28N2O5·HCl=412.91 CAS-132539-07-2 4-(甲氧羰基)-4-[(1-氧化丙基)苯氨基]-1-哌啶丙酸甲酯单盐酸盐。 4-(Methoxycarbonyl)-4-[(1-oxopropyl)phenylamino]-1-piperidinepropanoic acid,methyl ester,monohydrochloride. 4-羧-4-(N-苯丙酰胺)-1-哌啶丙酸二甲酯,单盐酸盐。 4-Carboxy-4-(N-phenylpropionamido)-1-piperidinepropionic acid,dimethyl ester,monohydrochloride. 镇痛药。 Remifentanil Hydrochloride,GI 87084B. USAN. 
|