网站首页  词典首页


请输入您要查询的字词:

 

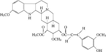
字词 瑞西美托
类别 中英文字词句释义及详细解析
释义 瑞西美托

C33H38N2O8=590.67

CAS-73573-42-9

18β-羟-11,17α-二甲氧-3β,20α-育亨烷-16β-羧酸甲酯(E)-4-羟-3-甲氧肉桂酸酯。

Methyl 18β-hydroxy-11,17α-dimethoxy-3β,20α-yohimban-16β-carboxylate(E)-4-hydroxy-3-methoxycinnamate(ester).

18-[[3-(4-羟-3-甲氧苯基)-1-氧代-2-丙烯基]氧]-11,17-二甲氧育亨烷-16-羧酸甲酯。

18-[[3-(4-Hydroxy-3-methoxyphenyl)-1-oxo-2-propenyl]oxy]-11,17-dimethoxyyohimban-16-carboxylic acid methyl ester.

O-(4-羟-3-甲氧肉桂酰)利血平酸甲酯。

Methyl O-(4-hydroxy-3-methoxycinnamoyl)reserpate.

抗高血压药。

Rescimetol,Toscarna,CD 3400.

INN,JAN,USAN.

随便看

 

离鸟网收录3541549条中英文词条,其功能与新华字典、现代汉语词典、牛津高阶英汉词典等各类中英文词典类似,基本涵盖了全部常用中英文字词句的读音、释义及用法,是语言学习和写作的有利工具。

 

Copyright © 2004-2024 vtrois.com All Rights Reserved
更新时间:2026/4/6 20:37:58