网站首页  词典首页


请输入您要查询的字词:

 

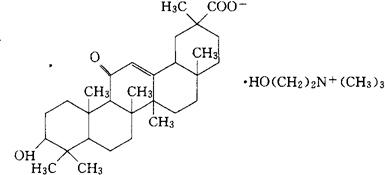
字词 甘草次酸胆碱[中]
类别 中英文字词句释义及详细解析
释义 甘草次酸胆碱[中]

C35H59NO5=573.86

甘草次酸(2-羟乙基)-三甲基铵。

(2-Hydroxyethyl)trimethylammonium glycyrrhetniate.

镇咳药。用于上呼吸道感染、急性支气管炎、肺炎、哮喘等病引起的咳嗽。

胆碱甘草次酸盐。

Choline Glyrrhetinate.

随便看

 

离鸟网收录3541549条中英文词条,其功能与新华字典、现代汉语词典、牛津高阶英汉词典等各类中英文词典类似,基本涵盖了全部常用中英文字词句的读音、释义及用法,是语言学习和写作的有利工具。

 

Copyright © 2004-2024 vtrois.com All Rights Reserved
更新时间:2026/4/7 0:01:43