网站首页  词典首页


请输入您要查询的字词:

 

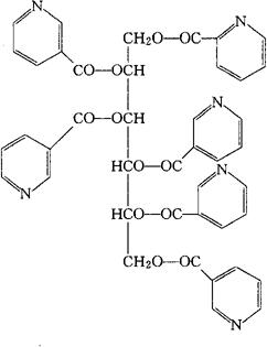
字词 甘露醇烟酸酯[中]
类别 中英文字词句释义及详细解析
释义 甘露醇烟酸酯[中]

C42H32N6O12=812.75

降血脂药。

用于高血脂、高血压及防治动脉粥样硬化。

甘露醇六烟酸酯。

Mannitol Nicotinate.

甘露醇烟酸酯片。

随便看

 

离鸟网收录3541549条中英文词条,其功能与新华字典、现代汉语词典、牛津高阶英汉词典等各类中英文词典类似,基本涵盖了全部常用中英文字词句的读音、释义及用法,是语言学习和写作的有利工具。

 

Copyright © 2004-2024 vtrois.com All Rights Reserved
更新时间:2026/5/31 15:16:48