甜菊总甙
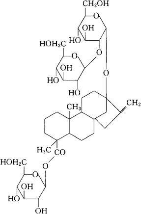
C38H60O18=804.90 以甜菊甙(Stevioside C38H60O18)为主的混合物。 13-[(2-O-β-D-吡喃葡糖基-α-D-吡喃葡糖基)氧]-贝壳杉-16-烯-18-酸βD-吡喃葡萄糖酯。 13-[(2-O-β-D-Glucopyranosyl-α-D-glucopyranosyl)oxy]-kaur-16-en-18-oic acid β-D-glucopyranosylester,(4α). 用于保健食品、饮料及医药品的甜味剂。 甜叶菊甙,糖菊甙,甜茶素。 Stevioside.  |