甜菜泵
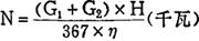
1.结构与性能 离心式甜菜泵已越来越多地被采用为扬送甜菜的设备,因为:(1)装置紧凑;(2)在目前的洗菜机前的扬送设备中具有最大的扬送高度(因此可能将洗菜机安在较高的楼层上,可取消提升机,并减少微生物的感染);(3)维修简便;(4)在输送过程中起著一定的洗涤甜菜作用。设备的结构见图2-10。 甜菜泵同扬送轮对比,机械效率低,耗用功率较大,特别是加工能力较小的工厂(水菜比大)。而且输送过程中甜菜会不同程度地受到磨损。磨损程度同叶轮结构、回转速度、菜水比、操作条件(如吸入空气将易于磨损)等有关。 为减轻甜菜的磨损,并减少阻力,扬送管内菜水混合物流速应限制在0.8~1.5米/秒内。 2.生产能力计算  式中 A——加工甜菜量(吨/日) D——泵吸入管(叶轮进口处)直径(米) v——菜水混合物吸入泵内的速度(米/秒),同泵的型式有关,为1.0~2.5米/秒 γ——甜菜和水混合物容重(公斤/米3)取1000 W——水重(%对甜菜) 有水力冲卸时为600~700% 无水力冲卸时为500% 甜菜泵的生产能力及产生的压头不能靠阀门来调节,而靠一定的转数来调节,此转数可按所需的流量及压头由泵的特性曲线所确定。 3.需用功率计算  式中 G1——扬送的甜菜量(吨/时) G2——扬送的水量(吨/时) H——扬送高度(米) η——泵效率,取0.3~0.4 4.甜菜泵的规格 制糖设备系列化后,甜菜泵定有下列两种规格,以进口直径(毫米)计:300,400。 |