网站首页  词典首页


请输入您要查询的字词:

 

字词 生丝重量检验
类别 中英文字词句释义及详细解析
释义 生丝重量检验

(1)重量检验样丝的抽样规定(见下表):

(2)检验方法仪器设备:a.公斤秤:感量0.02kg。

b.小台秤:感量1g。c.工业天平:感量0.01g。

d.带有天平的烘丝设备。(3)检验规程:a.净重:绞装丝将全批受验丝抽样后,逐件在公斤秤上称重核对,得出“毛重”。用小台秤称出每个布袋(箱)的重,小绞丝和大绞丝每批任择5把,长绞丝任择3把,折下商标、纸、绳,称其重量,推算出全批丝包装用品的重量。筒装丝将受验丝抽样后逐箱在公斤秤上称重核对,得出“毛重”,用公斤秤称出5只纸箱(包括箱中定位纸板、防潮纸)以及不少于2只筒管及纱套的重量,推算出全批丝的包装用品重量。

将全批丝“毛重”减去全批丝包装用品的重量即为全批丝的“净重”。b.湿重(原重):将抽得的重量样丝,立即在天平上称重核对,得出“湿重”,筒装丝将样筒编号,分别进行初称,待筒子复摇成绞后,将各筒管分别称重,将初称的重量减去筒管的重量再加进编丝线重量,即得各份“湿重”。c.干重:将称过湿重的样丝,松散放置在烘篮内以140~145℃的温度烘至恒量,即得出“干重”。d.回潮率的计算式:

式中 W——回潮率(%);

G——样丝湿重(g);

G1——样丝干重(g)。

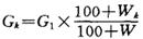
在同批二组样丝中,回潮率差异超过1%,则应抽取第五份样丝,按上述方法求出回潮率,再与前四份的“湿重”和“干重”合并计算,为该批丝的回潮率。e.公量计算式:

式中 GK——公量(kg);

G1——净重(kg);

Wk——公定回潮率(%);

W——实测回潮率(%)。

回潮率和公量计算均取小数二位。

随便看

 

离鸟网收录3541549条中英文词条,其功能与新华字典、现代汉语词典、牛津高阶英汉词典等各类中英文词典类似,基本涵盖了全部常用中英文字词句的读音、释义及用法,是语言学习和写作的有利工具。

 

Copyright © 2004-2024 vtrois.com All Rights Reserved
更新时间:2026/4/7 3:52:17