网站首页  词典首页


请输入您要查询的字词:

 

字词 生产效果
类别 中英文字词句释义及详细解析
释义 生产效果

农业企业、农工企业和生产联合公司的生产经营活动成果。

生产经营活动的成果,是用技术一经济指标体系表示的。在技术一经济指标中又分以下一些指标。

1。

反映所生产产品数量的单位指标:

(1)按种植某种作物(葡萄、水果、蔬菜、谷物、甜菜、向日葵,等等)的每公顷面积计算的产品产量的增长:

式中:ВС′,ВС°——分析(报告)期和基期种植的某种作物的总产量,公担;

П′,П°——分析(报告)期和基期种植的某种作物的面积,公顷;

У′,У°——分析(报告)期和基期的单位面积产量,公担/公顷;

(2)按单位原料产品计算的产品产量的增长(例如,用每吨甜菜所生产的糖等):

式中:П,П——分析(报告)期和基期所生产的产品数量,吨,公斤;

С′,С°——分析(报告)期和基期用于加工的原料数量,吨,公斤;

У,У——分析(报告)期和基期单位原料产品所生产的产品量。

2.劳动力资源使用指标:

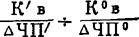
(1)报告期和基期日历工时总数的利用系数(人工日或人工小时):

式中:РВ′,РВ°——报告期和基期每一年平均在册工作人员实际完成的工时;

КВ′,КВ°——报告期和基期的日历工时总数;

К,К——报告期和基期日历工时总数的利用系数;

(2)报告期和基期,由于组织方面的原因造成的全天停工率和班内停工率;

(3)报告期和基期,每个年平均在册人员一年完成的人工日数;

(4)报告期和基期,按整个企业和按工业生产、农业生产分别计算的劳动生产率;

(5)与基期条件相比的劳动消耗相对节约指标:

式中:ВП——总产值;

Р——年平均工作人员数。

3.生产基金利用效果指标:

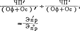
(1)每卢布固定生产基金、定额流动资金和劳动报酬基金生产的净产值之比:

式中:ЧП′,ЧП°——报告期和基期的企业净产值;

(Оф+Ос+Зпл)′,

(Оф+Ос+Зпл)°——分别为分析(报告)期和基期的固定生产基金、定额流动资金和劳动报酬基金;

Э3,Э3——报告期和基期的总费用折算率;

(2)物化劳动(固定生产基金和定额流动资金)的利用率:

式中:Эр,Э——报告期和基期物化劳动消耗的利用率

(3)报告期和基期农工组组每卢布工业固定基金生产的工业产值;

(4)报告期和基期每卢布工业固定基金生产的农业产值;

(5)报告期和基期每卢布工品产品的费用;

(6)报告期和基期流动资金的周转率(天)指标;

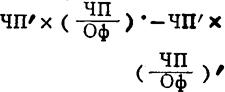
(7)与基期条件相比的固定生产基金相对节约指标:

式中:ЧП°,ЧП′——基期和报告期净产值,

О,О——基期和报告期所占用的固定生产基金。即按基期的单位基金占用量计算,在报告期为获得一定量的净产值所需要的固定生产基金额,与报告期实际占用的固定生产基金额之间的差额;

(8)与基期条件相比的定额流动资金相对节约指标:

(9)与基期条件相比的物质消耗相对节约指标:

ЧП′×М°-ЧП′×М′

式中:М′,М°——报告期和基期单位净产值的物质消耗,

4。土地利用指标:

(1)报告期和基期,每公顷土地单位面积产量;

(2)某种作物(谷物、向日葵、水果等)的单位平均销售价格;

(3)报告期和基期,优良品种播种面积%。

5.基本建设投资效果指标:

(1)报告期和基期,每卢布基本建设投资(Кв)所投产的固定资产的价值之比:

(2)报告期和基期,基本建设投资所引起的净产值增长额之比:

(3)报告期和基期,每卢布净产值增长额所用的单位基本建设投资之比:

(4)报告期和基期,基本建设投资回收期之比:

式中:△П′р,△П0р——报告期和基期的利润增长额。

6.企业、联合公司经营活动成果的质量指标;

(1)报告期和基期的(工业和农业)产品成本;

(2)报告期和基期的(工业和农业)生产赢利率;

(3)报告期和基期的产品质量;

(4)经济刺激基金包括:物质奖励基金,利润奖励基金,社会-文化福利措施和住宅建设基金;报告期和基期按每个年平均在册工作人员计算的巩固(或发展)和扩大企业基金。

仅用这些综合指标,还不能说明农业企业和农工企业的生产效果。从生产特点和部门特点看,一般性指标必须用特殊的技术-经济指标体系来加以补充。

苏共第二十六次代表大会通过了宏伟的经济和社会进步纲要。这个纲要提出的明确任务是:在国民经济全面集约化的基础上,不断提高国民经济各个部门的社会生产效率,改进产品质量和劳务质量。

随便看

 

离鸟网收录3541549条中英文词条,其功能与新华字典、现代汉语词典、牛津高阶英汉词典等各类中英文词典类似,基本涵盖了全部常用中英文字词句的读音、释义及用法,是语言学习和写作的有利工具。

 

Copyright © 2004-2024 vtrois.com All Rights Reserved
更新时间:2026/5/30 20:31:39