网站首页  词典首页


请输入您要查询的字词:

 

字词 生产理论
类别 中英文字词句释义及详细解析
释义 生产理论

现代经济学一大分支,主要研究与财富或收入的生产相联系的问题,诸如生产的定义及其过程、生产函数的形式及其特点、技术进步因素等等。

系统的生产理论是直到18世纪中叶才建立起来的,这也是近代科学的政治经济学体系开始确立的标志。从这以后,生产理论分别经历了古典的、新古典的等几个发展阶段。

古典学派的重农主义者把生产分析的著眼点放在农业,认为只有农业劳动才能生产出纯产品从而具有生产性,而其他部门的劳动则不是生产性的。亚·斯密和李嘉图拓宽了生产分析的眼界,指出一切部门的生产劳动都创造出剩余产品,从而都是生产性劳动。

古典派生产理论的一个最显著特征是,它把生产过程视为一种循环流转过程,即不仅各种投入在一定的技术状态下通过不同的运动形式转化为产出,而且产出也(或者通过工资消费更新劳动投入,或者通过原材料消耗和固定资本磨损的补偿,或者通过剩余产品的积累)会再转化为投入。他们试图揭示这种循环流转过程所固有的自然规律。

魁奈天才地绘制了他的经济表,斯密等则在此基础上分析了扩展的再生产模式。古典派生产理论认识到生产需耗费时间的特性,强调预付从而资本积累对于生产的扩张从而收入和财富的增长的重要作用。古典派生产理论还考察了生产的动态发展过程,指出由于供给有限的土地成为限制积累的因素,生产扩张的过程最终将因利润率的降低而衰减下来,直至达到静止状态。这显然是忽略了技术进步的因素。

另外,古典派生产理论也意识到生产过程的社会历史性,这个问题后来在马克思的理论中获得了全面系统的阐述。

从19世纪下半叶,作为边际革命的结果,经济理论的焦点从生产领域转向了交换领域,从而生产理论被浓缩在关于资源最优配置的一般理论框架中。

这显示了此后发展起来的新古典生产理论的基本特征。各派新古典经济学家几乎无一例外地都从交换一般均衡的角度来考察生产问题,这种生产理论与古典派理论的一个根本差别在于,它将生产过程视为从投入到产出的单向流动过程,而不再是循环流转过程。因此,新古典生产理论注重关于投入与产出之间生产函数的理论研究,考察在给定生产函数的条件下基于利润最大化的投入需求函数和产出供给函数的特征。

设一厂商使用m种投入生产n种产出,其利润最大化的目标函数为:

式中yi(i=1,…,n)为产出,yi(i=n+1,…,n+m)为投入(等于负产出,故为负值),pi(i=1,…,n)为产品价格,pi(i=n+1,…,n+m)为投入价格。

则作为其约束条件的生产函数的一般形式有:

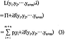
假定(2)式双重可微,其一阶导数恒为正,且呈凸性,则最优生产计划可以使用拉格朗日函数来表述:

λ为与(2)式相结合的拉格朗日乘数,它代表与生产计划变动相伴随的利润变化。由此,使利润最大化的产出水平和λ都是价格pi的函数:

这里便是净供给函数,它作为产出代表了通常的供给函数,作为投入则代表了负的需求函数。

由此,这一函数的存在便表明了边际盈利性条件的被满足从而生产函数具有正当性质。

投入需求和产出供给函数的特征将依赖生产函数的特殊性质。

一些人试图弄清这些性质以便发现更有伸缩性的函数形式来反映经常被注入生产过程的各种经济效应,诸如产出水平、规模收益、不同收入相对份额、自身价格弹性、替代弹性等等。生产函数的特殊形式将决定这些经济效应是否存在及其量的大小,像齐次性、加总性和可分解性等等形式。关于生产函数的经验研究中的一个主要倾向,也是寻找更有伸缩性的函数形式。例如列昂捷夫对生产函数施加零替代弹性的限制,而柯布-道格拉斯函数则令替代弹性为一,CES函数假定替代弹性可取任意固定值,以后又有人发展出替代弹性可变的VES生产函数。

此外,还有人试图释放齐次性假定,而发展出共线同形(homo-thetic)生产函数和非共线同形(no-homo-thetic)生产函数。

新古典生产理论还涉及到技术进步问题,诸如考察由于引进新技术而导致生产函数发生转移的过程及其后果等等。这些技术或者是中性的,或者是非中性的,既可能起因于内生因素,也可能受制于外生变量。最后,这一生产理论在近些年来取得了若干发展。

一个主要进展是它发展了一种关于生产理论的二元方法或对偶方法。此外,还出现了各种旨在强调生产过程时际方面的动态要素需求模型,以及在规模经济盛行的条件下关于多产品厂商的生产和定价行为进行的考察。

随便看

 

离鸟网收录3541549条中英文词条,其功能与新华字典、现代汉语词典、牛津高阶英汉词典等各类中英文词典类似,基本涵盖了全部常用中英文字词句的读音、释义及用法,是语言学习和写作的有利工具。

 

Copyright © 2004-2024 vtrois.com All Rights Reserved
更新时间:2026/4/7 8:32:35