生产能力投入产出表
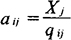
按机器设备生产能力编制的投入产出表,分为生产部门和使用部门,其表式一般为棋盘式平衡表。 生产能力投入产出表  编制这种平衡表有很大的意义:(1)计算生产能力的利用率:  式中,xi为j部门的总产量。如果aij小于1,则说明机器设备没有得到充分利用。(2)分析综合生产能力,虽然上表不能按列相加,但要求一个部门各种机器设备生产能力基本相等,例如第一个部门应有: 其他部门照此类推。如果上式中有些元素过大或过小,说明生产能力不平衡,需要采取相应的措施加以解决。 (3)是安排投资和就业的重要依据、对生产能力过剩的部门、企业,就不应进行投资,安排劳力,反之亦然。 |