网站首页  词典首页


请输入您要查询的字词:

 

字词 生产要素替代弹性
类别 中英文字词句释义及详细解析
释义 生产要素替代弹性

反映一种生产要素与另一种生产要素之间因其相对价格变化而发生相互替代程度的一个概念。

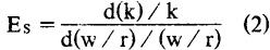
与两种产品之间的替代弹性相近似,两种要素之间的替代弹性一般地可表为两种要素投入量比例的百分比变化与相关的该两种要素价格比例的百分比变化二者之比率。因此,如果有生产函数y=f(K,L),则资本与劳动两种要素K与L之间的替代弹性系数便可用下面公式来表示:

因为K/L也就是人均资本量,可以写成k;PL和PK也就是工资率和利润(利息率),可分别用w和r来替换,故替代弹性公式又可以写成:

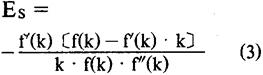
在均衡条件下,利润率恒等于资本边际产品,即r=f′(k),而工资则有w=f(k)-k·f′(k),代入(2)式又可将替代弹性表为下述形式:

根据上述公式,如果两种要素之间的替代弹性系数为零,则它们将只能按固定比例来投入使用;如果弹性系数大于零,则它们的配合比例将依要素相对价格的变化而作出反应,且系数越大反应越敏感。替代弹性这一概念是由希克斯(Hicks)等人在30年代初最先提出和使用的,以后被广泛应用现代生产和增长理论等多方面的理论与经验研究中。

随便看

 

离鸟网收录3541549条中英文词条,其功能与新华字典、现代汉语词典、牛津高阶英汉词典等各类中英文词典类似,基本涵盖了全部常用中英文字词句的读音、释义及用法,是语言学习和写作的有利工具。

 

Copyright © 2004-2024 vtrois.com All Rights Reserved
更新时间:2026/4/9 0:23:29