网站首页  词典首页


请输入您要查询的字词:

 

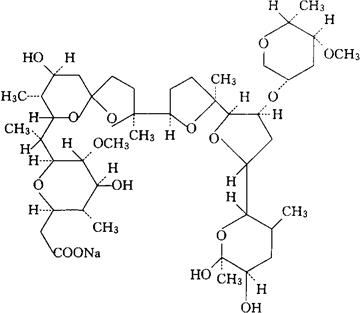
字词 生度米星钠
类别 中英文字词句释义及详细解析
释义 生度米星钠

C45H75NaO16=895.07

CAS-119068-77-8

[3R,4S,5S,6R,7S,22S(2S,5S,6R)]-23,27-二去甲氧-5,11-二-O-去甲基-6-甲氧-22-[(四氢-5-甲氧-6-甲基-2H-吡喃-2-基)氧]-洛诺霉素A,单钠盐。

[3R,4S,5S,6R,7S,22S(2S,5S,6R)]-23,27-Didemethoxy-5,11-di-O-demethyl-6-methoxy-22-[(tetrahydro-5-methoxy-6-methyl-2H-pyran-2-yl)oxy]lono-myciA,monosodium salt.

(3R,4S,5S,6R,7S,22S)-23,27-二去甲氧-2,6,22-三去甲基-5,11-二-O-去甲基-6-甲氧-22-[[(2S,5S,6R)-四氢-5-甲氧-6-甲基-2H-吡喃-2基]氧]洛诺霉素A,单钠盐。

(3R,4S,5S,6R,7S,22S)-23,27-Didemethoxy-2,6,22-tridemethyl-5,11-di-O-demethyl-6-methoxy-22-[[(2S,5S,6R)-tetrahydro-5-methoxy-6-methyl-2Hpyran-2-yl]oxy]lonomyc in A,monosodium salt.

(2R,3S,4S,5R,6S)-四氢-2,4-二羟-6-[(1R)-1-[(2S,5R,7S,8R,9S)-9-羟-2,8-二甲基-2-[(2R,5S)-四氢-5-甲基-5-[(2R,3S,5R)-四氢-5-[(2S,3S,5R,6S)-四氢-6-羟-3,5,6-三甲基-2H-吡喃-2-基]3-[[(2S,5S,6R)-四氢-5-甲氧-6-甲基-2H-吡喃-2-基]氧]-2-呋喃基]-2-呋喃基]-1,6-二噁螺[4.5]癸-7-基]乙基]-5-甲氧基-3-甲基-2H-吡喃-2-乙酸钠。

Sodium(2R,3S,4S,5R,6S)-tetrahydro-2,4-dihydroxy-6-[(1R)-1-[(2S,5R,7S,8R,9S)-9-hydroxy2,8-dimethyl-2-[(2R,5S)-tetrahydro-5-methyl-5-[(2R,3S,5R)-tetrahydro-5-[(2S,3S,5R,6S)-tetrahydro-6-hydroxy-3,5,6-trimethyl-2H-pyran-2-yl]-3[[(2S,5S,6R)-tetrahydro-5-methoxy-6-methyl-2H-pyran-2-yl]oxy]-2-furyl]-2-furyl]-1,6-dioxaspiro[4.5]dec-7-yl]ethyl]-5-methoxy-3-methyl-2Hpyran-2-acetate.

抗球菌药。

Semduramicin Sodium,UK-61,689-2.

USAN.

随便看

 

离鸟网收录3541549条中英文词条,其功能与新华字典、现代汉语词典、牛津高阶英汉词典等各类中英文词典类似,基本涵盖了全部常用中英文字词句的读音、释义及用法,是语言学习和写作的有利工具。

 

Copyright © 2004-2024 vtrois.com All Rights Reserved
更新时间:2026/5/31 22:56:04