网站首页  词典首页


请输入您要查询的字词:

 

字词 生态位
类别 中英文字词句释义及详细解析
释义 生态位

曾称作生态龛或生态灶,是一个既抽象又含义丰富的生态学专有名词,在现代生态学中,其研究已经渗透到许多研究领域,而且应用范围越来越广。

生态位概念是美国格林内尔(J.Grinnell)首先使用的(1917、1924),他把生态位定义为“恰好被一个种或一个亚种占据的最后分布单位”,并且“没有两个种能够长久占有同一个生态位”。格林内尔的生态位实际上指的是空间生态位。1927年英国埃尔顿(C.Elton)认为生态位是物种在生物群落中的功能作用和地位,特别强调与其他种的营养关系,他对这个概念的解释可以看作是营养生态位。

1957年哈钦森(G.E.Hutchinson)对生态位概念给以数学的抽象,提出生态位是位于几维资源空间中的超体积,进而他又划分了基础生态位和现实生态位,认为在没有任何竞争者或其它干扰作用存在时,某一物种所占据的最大的“理论上的栖息超体积”,即为该物种的基础生态位。

但由于其他物种的竞争或捕食等的干扰,一物种只能占据其基础生态位的某些区域,这种缩小的超体积哈钦森称之为现实生态位。1959年奥德姆(E.P.Odum)把生态位定义为“一个生物在群落和生态系统中的位置和状况,而这种位置和状况取决于该生物的形态适应、生理反应和特有的行为”。

帕茵克(E.R.Pianka,1973)认为,一个生物单位(包括个体、种群或物种)的生态位,就是该生物单位适应性的总和。生态位的概念实际已同种间竞争现象密不可分,而且也越来越同资源利用相关联,这样把重点放在资源利用上有利于生态位的定量分析。

生态位宽度和生态位重迭是最常见的生态位测度,在一维或多维基础上对群落内的生态位宽度和生态位重迭的分析工作越来越多,生态学家已经提出了许多数学方法来定量地测定生态位的宽度和重迭。

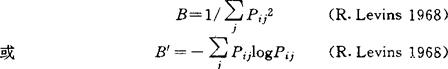
生态位宽度,有时也称作生态位“广度”或“大小”,是指被一个有机体单位所利用的各种各样不同资源的总和。曾有很多生态学家致力于寻找测定生态位宽度的方法,但莱文斯(R.Levins)最先提出利用比较简单的测定群落多样性指数Simpson公式(E.H.Simpson,1949)及信息论中的Shannon-Weiner公式(C.E.Shannon & W.Weaver,1949),来表示任何生物所利用的资源的多样性。因此,生态位宽度的计算公式是:

以上两式分别以Simpson公式和Shannon-Wiener公式为基础建立,式中B和B′为物种i的生态位宽度,Pij是与资源位j相联系的物种i个体的比例。

上面计算方法很大程度上取决于所考虑资源种类的多少,而忽视了物种对资源的利用效率,因而人们曾提出一些较前述两种测定方法有了改进和使测定程序标准化的方法,但它们对一般应用来说又过于繁复。

生态位理论的另一个中心问题涉及资源分享和数量或生态位重迭。

人们对生态位重迭概念的理解也各不相同。考苇尔(R.K.Colwell,1971)把被两个或更多相邻物种共同分享的几维生态因子空间的某个区域称作生态位重迭。

皮洛(E.C.Pielou,1972)提出了资源位上平均生态位重迭的概念,并视之为资源位上种的多样性。梅依(R.M.May,1974)认为生态位重迭是种间生态学相似性的标度。

赫伯特(S.H.HurIbert,1978)则把生态位重迭定义为种间相遇频率高于或低于每一种所利用的每个资源位与资源位丰富度之比值的程度。

计算生态位重迭的方法与计算生态位宽度的方法一样,主要是来自对各种多样性指数的分析,特别是根据对资源分割的分析。

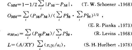
常用的生态位重迭计算公式有以下几个:

式中CMm、OMm、aM(m)和L为不同的生态位重迭计测指数,PMi和PMi是与资源位i相联系的种X和种Y个体的比例,Pxi=Xj/X,Pvi=yi/Y,xi和yi分别为与资源位i相联系的种X和种Y的个体数,X和Y是种X和种Y的个体总数,ai是资源位i的丰富度。

虽然上述各公式都反映了物种在资源利用上的重迭,但它们各有特点。其中莱文斯(R.Levins,1968)公式所使用的重迭矩阵是不对称的,即种X对种Y的侵占或影响与种Y对种X的侵占或影响不相等,而赫伯特(S.H.Hurlbert,1978)的公式则注重了资源位i之间在丰富度或可获得性(ai)上可能存在的差异。此外,人们还曾提出其他计算生态位重迭的公式(如M.Morisita,1959;H.S.Horn,1966;M.Lloyd,1967;B.J.Rathke,1976;王刚等,1984)。

在种群和群落生态学中,现实生态位的计测与研究竞争对群落组成的作用和环境梯度分析关系密切,因而是生态位理论的重要研究内容;基础生态位与现实生态位之间关系的研究以及生态位形状的确定也受到生态学家的广泛重视;此外,利用生态位理论解释共存现象也已经十分普遍。总之,生态位理论和实验研究正处于蓬勃发展时期,还存在著许多的问题和争论,例如,竞争和生态位分离是否是引起种群进化和决定群落动态的重要因素;生态位多样化假说是否适用于解释植物群落中的多种共存现象;以及种间的生态位重迭是否必然伴随著竞争排斥现象等,这些都有待于生态位理论的进一步发展来辨明。

。【参考文献】:

1 Col well R K, Futuyma D J. On the measurement of niche breadth and overlap. Ecology, 1971,52:567~576

2 Pianka E R,Competition and niche theory. In: R M May

2 PiankaE R,Competition andnichetheory.In:RMMay(ed),Theoretical ecology,1976.(孙儒泳,等译,理论生态学.1982,116~143)

3 Hurlbrt S H. The measurement of niche overlap and some derivatives. Ecology,1978.59:67~77

4 Abrams P. Some comments on meauring niche overlap. Ecology , 1980,61:44~ 49

5 Slobodkichoff C N,Schulz W C. Measures of niche overlap. Ecology, 1980,61,1051 ~1055

6 Odum E P.Fundamental of ecology(Third edition).(孙儒泳,等译.生态学基础.1982,228~233)

7 尚玉昌.现代生太学中的生态位理论.生态学进展,1988,5(2)∶77~84

(东北师范大学草地所博士生导师祝廷成教授、张玉勋博士撰)

随便看

 

离鸟网收录3541549条中英文词条,其功能与新华字典、现代汉语词典、牛津高阶英汉词典等各类中英文词典类似,基本涵盖了全部常用中英文字词句的读音、释义及用法,是语言学习和写作的有利工具。

 

Copyright © 2004-2024 vtrois.com All Rights Reserved
更新时间:2026/5/30 20:51:07