生石灰中有效石灰的测定计算
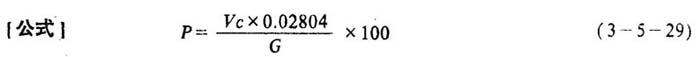
[说明]有效石灰是指生石灰中的游离氧化钙含量。 [测定方法]精确称取试样0.4~0.5g置于250mL具有磨口玻塞的锥形瓶中,加入4g化学纯蔗糖及15~20颗小玻璃球,然后加入新煮沸而已冷却的蒸馏水50mL、塞紧瓶塞,摇荡15min钟,加入2~3滴1%酚酞指示剂,用0.5M盐酸标准溶液滴定至红色显著消失,并能在30s钟内不再现红鱼为止。  式中 P——有效石灰(%) c、V——盐酸标准溶液的浓度(mol/L)及滴定所耗体积(mL) G——试样重(g) 0.02804——与1mL1mol盐酸相当的氧化钙量(g) |