网站首页  词典首页


请输入您要查询的字词:

 

字词 用二次函数解决实际问题的基本思路
类别 中英文字词句释义及详细解析
释义 用二次函数解决实际问题的基本思路

1.理解问题.

2.分析问题中的变量和常量,以及它们之间的关系.

3.用数学方法表示它们之间的关系.

4.做数学求解.

5.检验结果的合理性,拓展等.

例1 已知某商场销售一批名牌衬衫,平均每天可售出20件,每件盈利40元,为了扩大销售,增加盈利,尽快减少库存,商场决定采取适当的降价措施,经调查发现,如果每件衬衫每降1元,商场平均每天可多售出2件.

(1)若每件衬衫降价x元,平均每天盈利y元,写出y与x间的关系表达式;

(2)每件衬衫降价多少元时,商场平均每天盈利最多?最多盈利是多少?

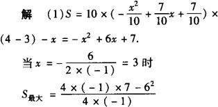
解 (1)y=(20+2x)(40-x),

即y=-2x2+60x+800;

(2)∵y=-2x2+60+800,

y有最大值

∴每件衬衫降价15元时,商场平均每天盈利最多,最多盈利是1250元.

例2 一隧道内有双向线公路,其截面是由一个长方形和一抛物线构成,如图所示,为确保安全,要求车辆顶部(设为平顶)与隧道顶部在竖直方向上高度之差至少要有0.5米,行车道的总宽度AB为6米,试计算车辆经过隧道时的限高是多少米(精确到0.1米).

解 以矩形下边(地面)为x轴,下边中点为原点建立直角坐标系,则抛物线过P(0,6)和N(4,2)设所求解析式为y=ax2+c(a≠0),

将P(0,6)和N(4,2)代入可得

当|x|=3时,y=3.75米,

∴3.75-0.5=3.25,

∴货车限高3.2米.

例3 启明公司生产某种产品,每件产品成本是3元,售价4元,年销售量为10万件,为了获得更好的效益,公司准备拿出一定的资金做广告,根据经验,每年投入的广告费是x(万元)时,产品的年销售量将是原销售量的y倍,且,如果把利润看作是销售总额减去成本费和广告费:

(1)试写出年利润S(万元)与广告费x(万元)的函数关系式,并计算广告费是多少万元时,公司获得的年利润最大,最大年利润是多少万元?

(2)把(1)中的最大利润留出3万元做广告,其余的资金额投资新项目,现有6个项目要供选择,各项目每股投资金额和预计年收益如下表:

如果每个项目只能投一股,且要求所有投资项目的收益总额不得低于1.6万元,问有几种符合要求的投资方式?写出每种投资方式所选的项目:

∴当广告费是3万元时,公司获得的最大年利润是16万元

(2)用于投资的资金是16-3=13(万元).

经分析有两种投资方式符合要求:

一种是取A、B、E各一股,投入资金5+2+6=13(万元).

收益为0.55+0.4+0.9=1.85(万元)>1.6(万元).

另一种是取B、D、E各一股,投入资金2+4+6=12(万元)<13(万元).

收益为0.4+0.5+0.9=1.8(万元)>1.6(万元).

例4 某博物馆每周都吸引大量中外游客前来参观,如果游客过多,对馆中的珍贵文物会产生不利影响,但同时考虑到文物的修缮和保存费用问题,还要保证一定的门票收入,因此,博物馆采取了涨浮门票价格的方法来控制参观人数,在该方法实施过程中发现:每周参观人数与票价之间存在著如图所示的一次函数关系,在这样的情况下,如果确保每周4万元的门票收入,那么每周应限定参观人数是多少?门票价格应是多少元?

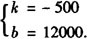
解 设每周参观人数与票价之间的一次函数关系为

y=kx+b(k≠0).

∵y=-500x+12000,

根据题意得xy=40000.

即x(-500x+12000)=40000,

x2-24x+80=0,

∴x1=20,x2=4.

把x1=20,x2=4分别代入y=-500x+12000中,

得y1=2000,y2=10000.

因为控制参观人数所以取x=20,y=2000.

答 每周应限定参观人数2000人,门票价格应是20元.

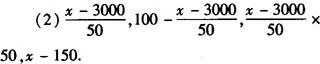
例5 某租赁公司拥有汽车100辆,当每辆汽车的月租金为3000元时,可全部租出;当每辆车的月租金每增加50元,未租出的车将会增加一辆,租出的车每辆每月需维护费150元,未租出的车每辆每月需维护费50元.

(1)当每辆车的月租金定为3600元时,能租出__辆车.

(2)设每辆车的月租金为x(x≥3000)元.

用含x的代数式表示:

未租出的车辆数__租出的车辆数__.所有未租出的车辆每月的维护费__租出的车辆每辆的月收益是__.

(3)当每辆车的月租金定为多少元时,租赁公司的月收益最大?最大月收益是多少元?

解 (1)88.

(3)设每辆车的月租金为x元,租赁公司的月收益y元,则有

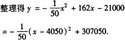
所以当x=4050时y有最大值,最大值是307050元.

[解析] (1)月租金3600元时,是在原3000元的基础上增加了12个50元,故租出汽车将在原100辆的基础上减少12辆.(2)月租金x(x≥3000)元时,是在原3000元的基础上,增加了()个50元,故租出的汽车将在原100辆的基础上减少()辆,依此可得其他代数式.

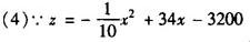
例6 某高科技发展公司投资500万元,成功研制出一种市场需求量较大的高科技替代产品,并投入资金1500万元进行批量生产,已知生产每件产品的成本为40元,在销售过程中发现:当销售单价定为100元时,年销售量为20万件;销售单价每增加10元,年销售量将减少1万件.设销售单价为x(元),年销售量为y(万件),年获利(年获利=年销售额-生产成本-投资)为z(万元).

(1)试写出y与x之间的函数关系式(不必写出x的取值范围);

(2)试写出z与x之间的函数关系式(不必写出x的取值范围);

(3)计算销售单价为160元时的年获利,并说明同样的年获利,销售单价还可以定为多少元?相应的年销售量分别为多少万件?

(4)公司计划:在第一年按年获利最大确定的销售单价,进行销售;第二年年获利不低于1130万元,请你借助函数的大致图象说明,第二年的销售单价x(元)应确定在什么范围内?

解 (1)依题意知:当销售单价定为x元时,年销售量减少1/10(x100)万件.

即y与x之间的函数关系是:

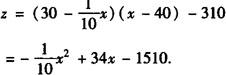
(2)由题意得z=(30-1/10x)(x-40)-500-1500

即z与x之间的函数关系式是:

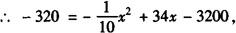
(3)∵当x取160时,z=-1/10×1602+34×160-3200=-320.

整理,得x2-340x+28800=0.

由根与系数的关系,得160+x=340.

∴x=180.

即同样的年获利,销售单价还可以定为180元.

当x=160时,y=-1/10×160+30=14.

当x=180时,y=-1/10×180+30=12.

即相应的年销售量分别为14万件和12万件.

∴当x=170时,z有最大值,有最大值为-310.

也就是说:当销售单价定为170元时,年获利最大,并且在第一年年底公司还差310万元就可收回全部投资.

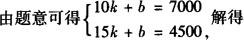
第二年的销售单价定为x元时,则年获利为:

当z=1130时,

即1130=-1/10x2+34x-1510,

整理,得x2-340x+26400=0,

解得x1=120,x2=220.

函数z=-1/10x2+34x-1510的图象大致如图所示

由图象可以看出:当120≤x≤220时,z≥1130.

所以,第二年的销售单价应确定在不低于120元且不高于220元的范围内.

随便看

 

离鸟网收录3541549条中英文词条,其功能与新华字典、现代汉语词典、牛津高阶英汉词典等各类中英文词典类似,基本涵盖了全部常用中英文字词句的读音、释义及用法,是语言学习和写作的有利工具。

 

Copyright © 2004-2024 vtrois.com All Rights Reserved
更新时间:2026/4/7 21:53:23