网站首页  词典首页


请输入您要查询的字词:

 

字词 用导数研究函数的极值
类别 中英文字词句释义及详细解析
释义 用导数研究函数的极值

利用导数求函数极值的方法和步骤如下:

1.求导数f′(x);2.求方程f′(x)=0的根;3.检查f′(x)在方程根左、右的值的符号,如果左正右负,那么f(x)在这个根处取得极大值,如果左负右正,那么f(x)在这个根处取得极小值,如果左右同号,那么f(x)在这个根处无极值.

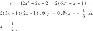
例1 求y=4x3—x2—2x的极值点和相应的极值.

解 ∵y′=12x2—2x—2,∴在(—∞,+∞)内任一点处都可导,所以它的极值点就是其导数等于0的点,但要注意导数为0的点并非都是极值点,必须考察导数等于0的点的左右导数的符号和函数的单调性.

∴当x变化时,y,y′的变化情况如下表:

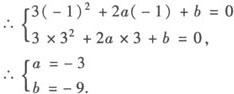
例2 已知函数f(x)=x3+ax2+bx+c,当x=—1时取得极大值7,如x=3时取得极小值,求极小值及这时a,b,c的值.

解 依题意x=—1与x=3是方程f′(x)=0的两根,于是先求出f′(x),再由f′(—1)=0,f′(3)=0,求出a,b,c.

∵f(x)=x3+ax2+bx+c,

∴f′(x)=3x2+2ax+b

∵x=—1时,函数取得极大值,x=3时取得极小值,

∴—1,3是方程f(x)=0的两根.

∴f(x)=x3—3x2—9x+c.

又x=—1时,y极大=7,∴(—1)3—3(—1)2—9(—1)+c=7,∴c=2.

y极小=f(3)=33—3×32—9×3+2=—25.

故a=—3,b=—9,c=2,y极小=—25.

随便看

 

离鸟网收录3541549条中英文词条,其功能与新华字典、现代汉语词典、牛津高阶英汉词典等各类中英文词典类似,基本涵盖了全部常用中英文字词句的读音、释义及用法,是语言学习和写作的有利工具。

 

Copyright © 2004-2024 vtrois.com All Rights Reserved
更新时间:2026/4/7 12:01:42