网站首页  词典首页


请输入您要查询的字词:

 

字词 由制漂温度的变化计算漂液浓度
类别 中英文字词句释义及详细解析
释义 由制漂温度的变化计算漂液浓度

【说明】 次氯酸钙漂液的制备是由石灰乳吸收Cl2反应而成的。该反应是一放热反应,经试验,1gCl2能使1L溶液升高0.3℃,因此,已知制漂反应的初始及终了温度,即可求出该漂液的浓度。

【公式】

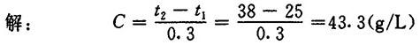
式中 C——漂液的浓度(g/L)

t2——通氯终了漂液温度(℃)(<40℃)

t1——石灰乳初始温度(C)

0.3——常数(L·℃/g)

【例】 某制漂吸收槽,石灰乳的温度为25℃,通氯终了温度为38℃,求漂液有效氯浓度。

随便看

 

离鸟网收录3541549条中英文词条,其功能与新华字典、现代汉语词典、牛津高阶英汉词典等各类中英文词典类似,基本涵盖了全部常用中英文字词句的读音、释义及用法,是语言学习和写作的有利工具。

 

Copyright © 2004-2024 vtrois.com All Rights Reserved
更新时间:2026/4/6 20:43:32