网站首页  词典首页


请输入您要查询的字词:

 

字词 由方程画它的曲线
类别 中英文字词句释义及详细解析
释义 由方程画它的曲线

由已知方程画出它的曲线,基本方法是描点法,但在描点以前必须对方程f(x,y)=0进行如下讨论:

(1)范围:就是讨论方程中x,y取值范围,一般f(x,y)=0解出y=f(x),求x的取值范围,由f(x,y)=0解出x=φ(y),求y的取值范围.

(2)对称性:在方程f(x,y)=0里,若以—x代x而方程不变,则它的曲线关于y轴对称,若以—y代y而方程不变,则它的曲线关于x轴对称,若以—x代x同时以—y代y而方程不变,则它的曲线关于原点对称.

(3)截距:在方程中令y=0,求x的实数解,即为曲线在x轴上的截距(横截距),在方程中令x=0,求y的实数解,即为曲线在y轴上的截距(纵截距).

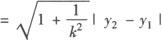
弦长公式:(直线与曲线相交时)

(k为直线斜率).

求曲线的方法:

1.代入法 2.直接法

3.几何法 4.定义法

5.参数法

例1 已知直线l∶,M为直线l上的一个动点,过点M作x轴和y轴的垂线,垂足分别为A、B,求把有向线段分成的比λ=2的动点P的轨迹方程.(代入法)

解 设M(x0,y0),P(x,y),则A(x0,0),B(0,y0),

∵P分有向线段所成的比λ=2,

点评 代入法体现了数形相互转化的思想.

例2 已知线段AB的长为3,平面上一动点M到A的距离是到B的距离的两倍,求动点M的轨迹方程.(直接法)

解 如上图所示,在线段AB上取一点O,使|AO|=2|OB|,以O为原点,AB为所在直线为x轴建立直角坐标系,则A、B两点的坐标分别为(—2,0),(1,0).

设动点M的坐标为(x,y),则点M属于集合P={M||MA|=2|MB|},

于是有

平方化简得:x2+y2—4x=0,即为所求的轨迹方程.

点评 用直接法求轨迹方程时,往往需要选择恰当的坐标系,否则容易造成计算繁琐且方程形式复杂.

例3 作方程=0所表示的曲线.(几何法)

分析 训练学生的变形能力,培养学生的分类讨论思想.

解 原方程变形为|x+1|+|x—1|—y=0.

当x≥1时,方程为y=2x;

当—1

当x≤—1时,方程为y=—2x.

点评 本题的难点是将方程进行变形去掉两个绝对值符号,从而培养学生的分类讨论的思想.

随便看

 

离鸟网收录3541549条中英文词条,其功能与新华字典、现代汉语词典、牛津高阶英汉词典等各类中英文词典类似,基本涵盖了全部常用中英文字词句的读音、释义及用法,是语言学习和写作的有利工具。

 

Copyright © 2004-2024 vtrois.com All Rights Reserved
更新时间:2026/4/8 4:39:35