网站首页  词典首页


请输入您要查询的字词:

 

字词 由辊壳壁厚不匀导致的管辊不平衡及动载荷计算
类别 中英文字词句释义及详细解析
释义 由辊壳壁厚不匀导致的管辊不平衡及动载荷计算

[说明]管辊辊壳壁厚不匀有以下二种情况:
❶ 辊壳内外圆柱表面偏心,亦即其轴线平行但不重合(见图2-3-23a),这种情况造成管辊的静不平衡;
❷ 辊壳内外圆柱表面对称地倾射,亦即其轴线倾射相交而交点在轴线的中点上(见图2-3-23b),它造成了动不平衡;
❸ 辊壳内外圆柱表面既偏心又倾射,其轴线可能不在同一平面内既不平行也不相交或是在同一平面相交于辊壳长度中心以外的点上(如图2-3-23c),它造成全不平衡,即静、动态均不平衡。

a-辊壳内外圆柱表面偏心 b-辊壳内外圆柱表面对称地倾射

c-辊壳内外圆柱表面偏心又倾射

1.由壁厚不匀导致静不平衡的管辊施加于其支点的动载荷、动载荷系数及其应用计算

❶ 动载荷的计算

式中 pd——动载荷(N)

k——壁厚不匀度系数

δmax、δmin、δm——辊壳的最大、最小和平均壁厚(m)

b——管辊长度(m)

γ——材料的重度(N/m3)

V——辊筒的线速度(m/s)

D、d、Dm——辊壳的外圆柱表面的直径、内圆柱表面的直径和二者的平均直径(m)

a0——壁厚不匀度(m)

ω——辊筒的角速度(1/s)

其它同前

❷ 动载荷系数的计算

[说明]动载荷Pd与管辊在支点上的静载荷即其重量之比称为动载荷系数cd

式中符号含义及单位同上

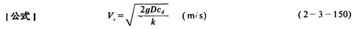
❸ 由动载荷系数求管辊的许可极限工作车速Vc

[说明]在给定的动载荷系数cd、辊径D及管材的壁厚不匀度系数k下即可求得许可极限工作车速V。

式中符号含义及单位同上

2.由壁厚不匀导致动不平衡的管辊施加于其支点的动载荷和动载荷系数及其应用计算

❶ 动载荷的计算

式中符号含义及单位同式2-3-142

❷ 动载荷系数计算

式中符号含义及单位同上

❸ 管辊的极限工作车速

式中符号含义及单位同上

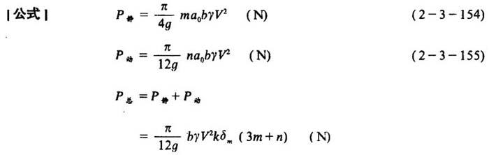
3.由壁厚不匀导致静、动全不平衡的管辊施加于其支点的动载荷和动载荷系数及其应用计算

❶ 静、动载荷的计算

式中 m——静不平衡部分占有的比率(%)

n——动不平衡部分占有的比率(%)

其它同前

❷ 动载荷系数

式中符号含义及单位同上

❸ 管辊的极限工作车速

式中符号含义及单位同上

随便看

 

离鸟网收录3541549条中英文词条,其功能与新华字典、现代汉语词典、牛津高阶英汉词典等各类中英文词典类似,基本涵盖了全部常用中英文字词句的读音、释义及用法,是语言学习和写作的有利工具。

 

Copyright © 2004-2024 vtrois.com All Rights Reserved
更新时间:2026/4/6 20:52:43