甲亚胺比色法
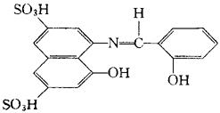
利用硼与甲亚胺作用生成棕黄色络合物的反应测定硼的一种比色方法。 甲亚胺(Azomethin-H)为H酸〔C10H4NH2OH(SO3H)2,8-氨基-1-萘酚-3,6-二磺酸〕和水杨醛(C6H4OHCHO,O-羟基苯甲酸)的缩合物,结构式如下。硼与甲亚胺在pH5.1~5.8的NH4OAC-HOAC缓冲溶液中形成棕黄色络合物,溶液呈棕黄色的深浅在0.1~10μg/ml范围内与硼的浓度呈正比,在410~420nm处可用比色法测定。硼与甲亚胺络合比为1∶3,络合稳定常数为K稳=5.1×103;该法是在水溶液中显色。干扰离子有F、A13+、Fe3+、Cu2+,可加EDTA溶液抑制其干扰。而Fe3+的允许含量<10mg/kg;在加甲亚胺试剂时,必须尽量准确,因试剂本身带有黄色,影响吸光度。加显色剂后,宜放在暗处2h和恒温条件下(约23℃左右)显色,颜色能稳定4h。 
|