网站首页  词典首页


请输入您要查询的字词:

 

字词 甲呋酰苯胺
类别 中英文字词句释义及详细解析
释义 甲呋酰苯胺

杂环类杀菌剂。

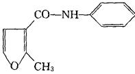
化学名称:2-甲基呋喃-3-甲酰替苯胺。化学结构式如下。原药为乳白色固体,熔点109~110℃,溶解度水中为98mg/kg,甲醇中为145g/L,丙酮中为320g/L,环己酮中340g/L。

对光、热稳定,在75℃条件下贮存100h,分解率为1.4%,内吸性杀菌剂。

主要用于禾谷类作物种子处理,防治大、小麦散黑穗病,小麦腥黑穗病,高粱丝黑穗病,散黑穗病,坚黑穗病,谷子粒黑穗病;对玉米丝黑穗病效果差。对人畜低毒,大鼠急性口服LD5012900mg/kg。对皮肤有轻度刺激,对眼睛有严重刺激作用,对鱼类毒性较低。

随便看

 

离鸟网收录3541549条中英文词条,其功能与新华字典、现代汉语词典、牛津高阶英汉词典等各类中英文词典类似,基本涵盖了全部常用中英文字词句的读音、释义及用法,是语言学习和写作的有利工具。

 

Copyright © 2004-2024 vtrois.com All Rights Reserved
更新时间:2026/4/6 23:32:57