网站首页  词典首页


请输入您要查询的字词:

 

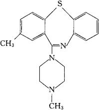
字词 甲噻平
类别 中英文字词句释义及详细解析
释义 甲噻平

C19H21N3S=323.45

CAS-5800-19-1

2-甲基-11-(4-甲基-1-哌嗪基)二苯并[b,f][1,4]硫氮杂

2-Methyl-11-(4-methyl-1-piperazinyl)dibenzo[b,f][1,4]thiazepine.

安定药,抗精神病药。

甲硫平。

Metiapine.

INN,NFN,USAN.

随便看

 

离鸟网收录3541549条中英文词条,其功能与新华字典、现代汉语词典、牛津高阶英汉词典等各类中英文词典类似,基本涵盖了全部常用中英文字词句的读音、释义及用法,是语言学习和写作的有利工具。

 

Copyright © 2004-2024 vtrois.com All Rights Reserved
更新时间:2026/5/31 12:33:18