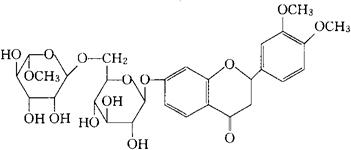
甲基橙皮甙[中]
C29H36O15=624.58 3′-甲基-7-(鼠李糖葡萄糖甙)橙皮素。 3′-Methyl-(7-rhamnoglucosidyl)hespertin. 7-[6-O-(6-去氧-α-L-吡喃甘露糖基)-β-D-吡喃葡糖基氧]-2,3-二氢-5-羟基-2-(3,4-二甲氧基苯基)-4H1-苯并吡喃-4-酮。 7-[6-O-(6-Deoxy-α-L-mannopyranosyl)-β-D-glucopyranosyloxy]-2,3-dihydro-5-hydroxy-2-(3,4-dimethoxyphenyl)-4H-1-benzopyran-4-one. 维生素P类药。用于加强毛细血管抵抗力.使毛细血管渗透性正常化和防止动脉硬化所引起的血管紊乱。 甲基陈皮甙。 Methylhesperidin.  |