网站首页  词典首页


请输入您要查询的字词:

 

字词 甲基氯吡磷
类别 中英文字词句释义及详细解析
释义 甲基氯吡磷

又称甲基毒死蜱。

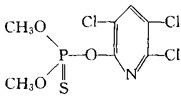
有机磷广谱杀虫剂。化学名称:O,O-二甲基O-3,5,6-三氯-2-吡啶基硫逐磷酸酯。化学结构式如下。

原药为白色颗粒状结晶,稍带硫醇味,熔点45.5~46.5℃,25℃时蒸气压562.62× 10-5Pa。

几乎不溶于水,25℃时水中溶解仅5mg/kg,微溶于乙醇和甲醇,易溶于丙酮、苯、乙醚、氯仿等多数有机溶剂。中性溶液稳定,遇酸(pH4~6)和碱(pH8~10)水解。

具有触杀、胃毒和熏蒸作用。可用于防治水稻螟虫纵卷叶螟、稻飞虱、叶蝉、黏虫、棉铃虫、红铃虫、盲蝽象、蚜虫、螨类及多种果树、蔬菜害虫,也可用于防治贮粮害虫。对人、畜的毒性比毒死蜱低,大鼠急性口服LD50为1824~2472mg/kg,急性经皮LD50>2800mg/kg。对鱼等水生动物有毒,鲤鱼TLm(48h)4.0mg/kg。

ADI值为0.01mg/kg。

随便看

 

离鸟网收录3541549条中英文词条,其功能与新华字典、现代汉语词典、牛津高阶英汉词典等各类中英文词典类似,基本涵盖了全部常用中英文字词句的读音、释义及用法,是语言学习和写作的有利工具。

 

Copyright © 2004-2024 vtrois.com All Rights Reserved
更新时间:2026/4/7 19:14:18