网站首页  词典首页


请输入您要查询的字词:

 

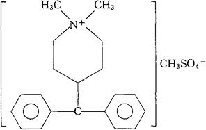
字词 甲基硫酸二苯马尼
类别 中英文字词句释义及详细解析
释义 甲基硫酸二苯马尼

C21H27NO4S=389.51

CAS-62-97-5

4-(二苯亚甲基)-1,1-二甲基哌啶鎓甲基硫酸盐。

4-(Diphenylmethene)-1,1-dimethylpiperidinium methyl sulfate.

抗胆碱药。

二苯马尼甲硫酸盐。

Diphemanil Methylsulfate,Diphemanil Metilsulfate,Prantal,Variton.

INN(Diphemanil Metilsulfate),BAN(DiphemanilMethylsulphate),USAN,USP.

随便看

 

离鸟网收录3541549条中英文词条,其功能与新华字典、现代汉语词典、牛津高阶英汉词典等各类中英文词典类似,基本涵盖了全部常用中英文字词句的读音、释义及用法,是语言学习和写作的有利工具。

 

Copyright © 2004-2024 vtrois.com All Rights Reserved
更新时间:2026/4/6 22:25:39