网站首页  词典首页


请输入您要查询的字词:

 

字词 甲氰菊酯
类别 中英文字词句释义及详细解析
释义 甲氰菊酯

又称灭扫利、meothrin。

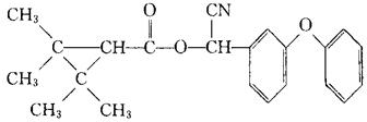
一种杀螨杀虫剂。化学名称:α-氰基-3-苯氧基苄基-2,2,3,3-四甲基环丙烷羧酸酯。

化学结构式如下。原药棕黄色液体,密度1.15(25℃)、熔点45~50℃,25℃时蒸气压1298.56×10-6Pa。

不溶于水,溶于二甲苯、环己烷等溶剂。中等毒性,大鼠口服LD50为70.6~164mg/kg,兔经皮LD50为2000mg/kg。

对鱼高毒。可防治棉叶螨、山楂叶螨、柑橘叶螨、温室粉虱、二点叶螨、桃蚜、桃小食心虫、橘蚜等。

随便看

 

离鸟网收录3541549条中英文词条,其功能与新华字典、现代汉语词典、牛津高阶英汉词典等各类中英文词典类似,基本涵盖了全部常用中英文字词句的读音、释义及用法,是语言学习和写作的有利工具。

 

Copyright © 2004-2024 vtrois.com All Rights Reserved
更新时间:2026/4/8 1:29:29