甲泼尼龙琥珀酸钠
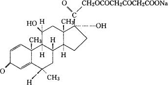
C26H33NaO8=496.53 CAS-2375-03-3 CAS-2921-57-5[methylprednisolone 21-(hydrogen succinate)] (6α,11β)21-(3-羧-1-氧代丙氧基)-11,17-二羟-6-甲基,-孕甾-1,4-二烯-3,20-二酮单钠盐。 (6α,11β)-21-(3-Carboxy-1-oxopropoxy)-11,17-dihydroxy-6-methyl,pregna-1,4-diene-3,-20-dionemonosodium salt. 11β,17,21-三羟-6α-甲基孕甾-1,4-二烯-3,20-二酮21-(琥珀酸钠)。 11β,17,21-Trihydroxy-6α-methylpregna-1,4-diene3,20-dione 21-(sodium succinate). 肾上腺皮质激素类药。 Methylprednisolone Sodium Succinate,Asmacortone,Solu-Medro1. JAN,USAN,USP.  |