网站首页  词典首页


请输入您要查询的字词:

 

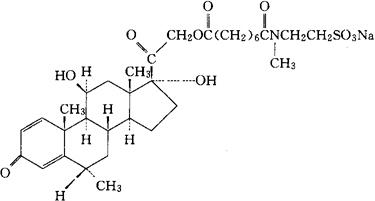
字词 甲泼尼龙磺庚酯
类别 中英文字词句释义及详细解析
释义 甲泼尼龙磺庚酯

C33H48NNaO10S=673.79

CAS-90350-40-6

(6α,11β)-11,17-二羟-6-甲基-21-[[8-[甲基(2-磺乙基)氨基]-1,8-二氧代辛基]氧]孕甾-1,4-二烯-3,20-二酮,单钠盐。

(6α,11β)-11,17-Dihydroxy-6-methyl-21-[[8-[methy(l2-sulfoethyl)amino]-1,8-dioxooctyl]oxy]-pregna1,4-diene-3,20-dione,-monosodium salt.

11β,17,21-三羟-6α-甲基孕甾-1,4-二烯-3,20-二酮,7-[甲基(2-磺乙基)氨甲酰基]庚酸C-21-酯单钠盐。

7-[Methyl(2-sulfoethyl)carbamoyl]heptanoic acid,C-21-ester with 11β,17,21-trihydroxy-6α-methylpregna-1,4-diene-3,20-dione,monosodium salt.

肾上腺皮质激素类药。

Methylprednisolone Suleptanate,U-67,590A.

INN,USAN.

随便看

 

离鸟网收录3541549条中英文词条,其功能与新华字典、现代汉语词典、牛津高阶英汉词典等各类中英文词典类似,基本涵盖了全部常用中英文字词句的读音、释义及用法,是语言学习和写作的有利工具。

 

Copyright © 2004-2024 vtrois.com All Rights Reserved
更新时间:2026/4/7 6:52:36