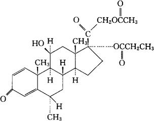
甲泼尼龙醋丙酯
C27H36O7=472.58 CAS-86401-95-8 11β,17,21-三羟-6α-甲基孕甾-1,4-二烯-3,20-二酮21-醋酸酯17-丙酸酯。 11β,17,21-Trihydroxy-6α-methylpregna-1,4-diene3,20-dione,21-acetate 17-propionate. (6α,11β)-11,17,21-三羟-5-甲基-1,4-孕甾-二烯-3,20-二酮,21-醋酸酯17-丙酸酯。 (6α,11β)-11,17,21-Trihydroxy-5-methyl-1,4-pregna-diene-3,20-dione,21-acetate 17-propionate. 肾上腺皮质激素类药,消炎药。 Methylprednisolone Acepoate,ZK 91588. INN,USAN.  |