网站首页  词典首页


请输入您要查询的字词:

 

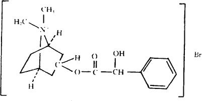
字词 甲溴后马托品
类别 中英文字词句释义及详细解析
释义 甲溴后马托品

C17H24BrNO3=370.29

CAS-80-49-9

CAS-87-00-3(homatropine)

内-3-[(羟苯基乙酰)氧]-8,8-二甲基-8-氮鎓双环[3.2.1]辛烷,溴化物。

endo-3-[(Hydroxyphenylacetyl)oxy]-8,8-dimethyl8-azoniabicyclo[3.2.1]octane,bromide.

溴化3α-羟-8-甲基-1aH,5αH-托烷鎓扁桃酸盐。

3α-Hydroxy-8-methyl-1αH,5αH-tropanium bromide mandelate.

抗胆碱药,散瞳药。

溴化甲基后马托品。

Homatropine Methylbromide,MethylhomatropineBromide,Mesopin,Nopar,Novatropin,Omnibel,Sethyl.

INN,BAN,BP,USAN,USP.

随便看

 

离鸟网收录3541549条中英文词条,其功能与新华字典、现代汉语词典、牛津高阶英汉词典等各类中英文词典类似,基本涵盖了全部常用中英文字词句的读音、释义及用法,是语言学习和写作的有利工具。

 

Copyright © 2004-2024 vtrois.com All Rights Reserved
更新时间:2026/4/7 6:08:12