网站首页  词典首页


请输入您要查询的字词:

 

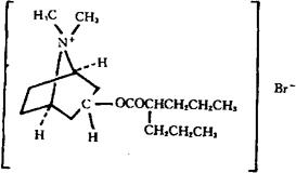
字词 甲溴辛托品
类别 中英文字词句释义及详细解析
释义 甲溴辛托品

C17H32BrNO2=362.35

CAS-80-50-2

8-甲基托品鎓的溴化物2-丙戊酸酯。

8-Methyltropinium bromide 2-propylpentanoate.

3α-羟-8-甲基-1aH,5αH-托品烷铵鎓2-丙戊酸酯溴化物。

3α-Hydroxy-8-methyl-1αH,5αH-tropanium bromide2-propyLvalerate.

抗胆碱药。

Anisotropine Methylbromide,Actatropine Methylbromide,Lytispasm,Valpin.

INN,BAN,DCF,DCIT,JAN,NFN,USAN,MI.

随便看

 

离鸟网收录3541549条中英文词条,其功能与新华字典、现代汉语词典、牛津高阶英汉词典等各类中英文词典类似,基本涵盖了全部常用中英文字词句的读音、释义及用法,是语言学习和写作的有利工具。

 

Copyright © 2004-2024 vtrois.com All Rights Reserved
更新时间:2026/4/7 13:05:22