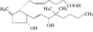
甲烯前列素
C23H38O4=378.55 CAS-61263-35-2 9-去氧-16,16-二甲基-9-亚甲基前列腺素E2。 9-Deoxo-16,16-dimethyl-9-methyleneprostaglandinE2. (Z)-7-[(1R,2R,3R)-3-羟-2-[(E)-(3R)-3-羟-4,4-二甲基-1-辛烯基]-5-亚甲基环戊基]-5-庚烯酸。 (Z)-7-[(1R,2R,3R)-3-Hydroxy-2-[(E)-(3R)-3-hydroxy-4,4-dimethyl-1-octenyl]-5-methylenecyclopentyl]-5-heptenoic acid. 缩宫药。 Meteneprost,Prostaglandin,U-46,785. INN,USAN.  |