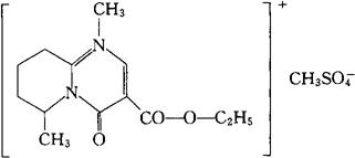
甲硫酸利马唑
C14H22N2O7S=362.40 CAS-35615-72-6 3-(乙氧基羰基)-6,7,8,9-四氢-1,6-二甲基-4-氧代-4H-吡啶并[1,2-a]嘧啶鎓甲基硫酸盐。 3-(Ethoxycarbonyl)-6,7,8,9-tetrahydro-1,6-dimethyl-4-oxo-4H-pyrido[1,2-a]pyrimidinium methyl sulfate. 镇痛、镇静药。 利马唑甲硫酸盐。 Rimazolium Metilsulfate. INN,USAN.  |