网站首页  词典首页


请输入您要查询的字词:

 

字词 甲磺酰苄托品[台]
类别 中英文字词句释义及详细解析
释义 甲磺酰苄托品[台]

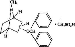
C21H25NO·CH4O3S=403.54

CAS-132-17-2

3α-二苯甲氧基-1αH,5αH-托烷甲烷磺酸盐。

3α-Diphenylmethoxy-1αH,5αH-tropane methanesulfonate.

交感神经阻断药。

甲磺酸苯甲托品,甲磺酸苄托品,甲横酸苯扎托品。

Benztropine Mesylate,Cogentin,Cobrentin,Benztropine Methanesulfonate.

甲磺酰苄托品注射液(苄托品注射液,甲磺酸苯扎托品注射液,)甲磺酰苄托品锭(苄托品锭),甲磺酸苯扎托品片。

BP,JAN,USAN,USP,MI.

随便看

 

离鸟网收录3541549条中英文词条,其功能与新华字典、现代汉语词典、牛津高阶英汉词典等各类中英文词典类似,基本涵盖了全部常用中英文字词句的读音、释义及用法,是语言学习和写作的有利工具。

 

Copyright © 2004-2024 vtrois.com All Rights Reserved
更新时间:2026/5/25 16:38:43