网站首页  词典首页


请输入您要查询的字词:

 

字词 甲磺酸双氢麦角碱
类别 中英文字词句释义及详细解析
释义 甲磺酸双氢麦角碱

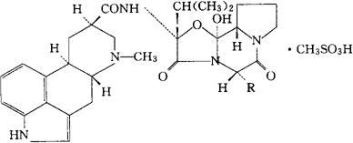
C31H41N5O5·CH4O3S(dihydroergocornine mesylate)=659.80

C35H41N5O5·CH4O3S(dihydroergocristine mesylate)=707.84

C32H43N5O5·CH4O3S(dihydro-α-ergocryptine mesylate)=673.82

C32H43N5O5·CH4O3S(dihydro-β-ergocrytine mesylate)=673.82

CAS-8067-24-1

CAS-11032-41-0(dihydroergofoxine)

(5′α,10α)-9,10-二氢-12′-羟基-2′,5′-双(1-甲基乙基)-麦角胺-3′6,′18-三酮,单甲磺酸盐,与9,10-二氢-12′-羟基-2′-(1-甲基乙基)-5′-α-(苯基甲基)麦角胺3′,6′,18-三酮单甲磺酸盐9,10α-二氢-12′-羟基-2′-(1-甲基乙基)-5′-α-(2-甲基丙基)麦角胺-3′,6′18-三酮单甲磺酸盐,和9,10α-二基-12′-羟基-2′-(1-甲基乙基)-5′-α-(1-甲基丙基)麦角胺-3′,6′,18-三酮单甲磺酸盐的混合物。

(5′α,10α)9,10-Dihydro-12′-hydroxy-2′,5′-bis(1-methylethyl)ergotaman-3′,6′,18-trione,monomethanesulfonate(salt),mixture with 9,10α-dihydro-12′-hydroxy-2′-(1-methylethyl)-5′-α-(phenylmethyl)ergotaman-3,′6,′18-trione monomethanesulfonate(salt),9,10α-dihydro-12′-hydroxy-2′-(1-methylethyl)-5′-α-(2-methylpropyl)ergotaman3′,6′,18-trione monomethanesulfonate(salt),and 9,10α-dihydro-12′-hydroxy-2′-(1-methylethyl)-5′-α-(1-methylpropyl)ergoaman-3′,6,′-18-trione monomethanesulfate(salt).

二氢麦角毒碱单甲烷磺酸盐。

Dihydroergotoxine monomethanesulfonate(salt).

等分的二氢麦角可宁甲磺酸盐与二氢麦角隐亭甲磺酸盐的混合物。其中α及β-二氢麦角隐亭甲烷磺酸盐的比例为1.5~2.5∶1。

An equiproportional mixture of dihydroergocornine mesylate,dihydroergocristine mesylate,and ratio of dihydro-α-ergocryptine mesylate to dihydro-β-ergocryptine mesylate is-1.5~2.5∶1.

脑代谢改善药。

Ergoloid Mesylates,Circanol,Hydergine,Trigot,Dihydroergotoxine Mesylate,Dihydroergotoxine Methanesulfonate,Dihydrogenated Ergot Alkaloids,Hydrogenated Ergot Alkaloids.

BAN(Co-dergocrine Mesylate),USAN,USP.

二氢麦角可宁 Dihydroergocornine

二氢麦角克利斯汀 Dihydroergocristine CH2C6H5

二氢-α麦角隐亭 Dihydro-ergocryptine CH2CH(CH3)2

二氢-β麦角隐亭 Dihydro-β-ergocryptine CH(CH3)CH2CH3

随便看

 

离鸟网收录3541549条中英文词条,其功能与新华字典、现代汉语词典、牛津高阶英汉词典等各类中英文词典类似,基本涵盖了全部常用中英文字词句的读音、释义及用法,是语言学习和写作的有利工具。

 

Copyright © 2004-2024 vtrois.com All Rights Reserved
更新时间:2026/5/26 8:06:53