网站首页  词典首页


请输入您要查询的字词:

 

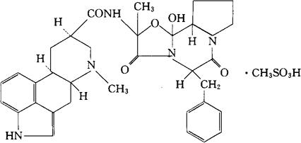
字词 甲磺酸双氢麦角胺
类别 中英文字词句释义及详细解析
释义 甲磺酸双氢麦角胺

C33H37N5O5·CH4O3S=679.79

CAS-6190-39-2

9,10-二氢-12′-羟-2′-甲基-5α-(苯甲基)-麦角曼-3′,6′,18-三酮单甲磺酸盐。

9,10-Dihydro-12′-hydroxy-2′-methyl-5’-(phenyl methyl)-ergotoman-3′,6′,18-trione monomethane sulfonate(salt).

双氢麦角胺单甲烷磺酸盐。

Dihydroergotamine Monomethanesulfonate.

脑血管扩张药。

Dihydroergotamine Mesylate,Dihydergot,Ditamin,Ergotex.

USAN,USP.

随便看

 

离鸟网收录3541549条中英文词条,其功能与新华字典、现代汉语词典、牛津高阶英汉词典等各类中英文词典类似,基本涵盖了全部常用中英文字词句的读音、释义及用法,是语言学习和写作的有利工具。

 

Copyright © 2004-2024 vtrois.com All Rights Reserved
更新时间:2026/4/6 17:39:35