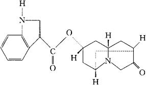
甲磺酸多拉司酮
C19H20N2O3·CH4O3S=420.48 CAS-115956-13-3 CAS-115956-12-2(dolasetron) (2α,6α,8α,9aβ)-1H-吲哚-3-羧酸八氢-3-氧代-2,6-亚甲基-2H-喹嗪-8-酯,单甲烷磺酸盐。 (2α,6α,8α,9aβ)-1H-Indole-3-carboxylic acid,octahydro-3-oxo-2,6-methano-2H-quinolizin-8-ylester,monomethanesulfonate. 吲哚-3-羧酸与(8γ)-六氢-8-羟基-2,6-亚甲基-2H-喹嗪-3(4H)-酮生成酯,单甲烷磺酸盐。 lndole-3-carboxylic acid,ester with(8γ)-hexahydro8-hydroxy-2,6-methano-2H-quinolizin-3(4H)-one,monomethanesulfonate. Dolasetron Mesylate,MDL 73,147EF. INN(Dolasetron),USAN.  |