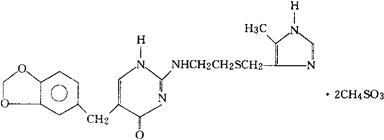
甲磺酸奥美替丁
C19H21N5O3S·2CH4O3S=591.67 CAS-84455-52-7 5-(1,3-苯并间二氧杂环戊烯-5-基甲基)-2-[[2-[[(5-甲基-1H咪唑-4-基)甲基]硫代]乙基]氨基]-4(1H)-嘧啶酮,二甲烷磺酸盐。 5-(1,3-Benzodioxol-5-ylmethyl)-2-[[2-[[(5-methyl-1H-imidazol-4-yl)methyl]thio]ethyl]amino]-4(1H)-pyrimidinone,dimethanesulfonate. 2-[[2-[[(5-甲基咪唑-4-基)甲基]硫代]乙基]氨基]-5-胡椒基-4(1H)-嘧啶酮二甲烷磺酸盐。 2-[[2-[[(5-Methylimidazol-4-y1)methyl]thio]ethyl]amino]-5-piperonyl-4(1H)-pyrimidinone dimethanesulfonate. 组胺H2-受体阻滞药。 Oxmetidine Mesylate,SK&F 92994-J2. USAN.  |