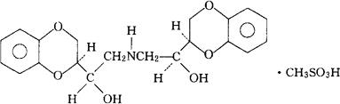
甲磺酸苯达洛尔
C20H23NO6·CH4O3S=469.51 CAS-81737-62-4 CAS-81703-42-6(bendacalol) (αR,α′S,2S,2′R)-α,α′-(亚氨基二亚甲基)双[1,4-苯并二噁烷-2-甲醇]甲烷磺酸盐。 (αR,α′S,2S,2′R)-α,-α′-(Iminodimethylene)bis[1,4-benzodioxan-2-methanol]methanesulfonate(salt). 抗高血压药。 甲磺酸冰达卡醇。 Bendacalol Mesylate,CGS 10078B. USAN. 
|