甲磺酸酚妥拉明[典]
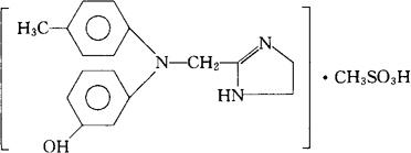
C17H19N3O·CH4O3S=377.46 CAS-65-28-1 间-[N-(2-咪唑啉基-2-甲基)-对-甲苯胺基]酚甲烷磺酸盐。 m-[N-(2-Imidazolin-2-yl-methyl)-p-toluidino]-phenolmonomethanesulfonate(salt). α-肾上腺受体阻滞药。用于外周血管痉挛、休克及嗜铬细胞瘤的诊治。 苄胺唑啉,酚妥拉明,酚胺唑啉,甲磺酸苄胺唑啉,甲磺酸酚胺唑啉。 Phentolamine Mesylate,Phentolamine Methanesulfonate. 甲磺酸酚妥拉明注射液(酚妥拉明注射液)。 BP,USAN,USP,MI.  |