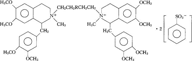
甲磺酸阿特拉喹
C65H82N2O18S2=1243.49 CAS-64228-81-5 2-(2-羧基乙基)-1,2,3,4-四氢-6,7-二甲氧基-2-甲基-1-[(3,4-二甲氧苯基)甲基]异喹啉鎓苯磺酸盐]亚戊基酯。 [2-(2-Carboxyethyl)-1,2,3,4-tetrahydro-6,7-dimethoxy-2-methye-1-[(3,4-dimethoxyphenyl)methyl]Lsoquinoliniumbenzenesulfonate]pentamethyelene ester. 骨骼肌松驰药。 苯磺酸阿曲库铵。 Atracurium Besilate,Tracurum Atracrvium Besylgeate. INN,BAN,DCF,DCIT,USAN,MI.  |