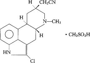
甲磺酸麦角腈
C17H18ClN3·CH4O3S=395.90 CAS-51473-23-5 CAS-36945-03-6(lergotrile) (8β)-2-氯-6-甲基-麦角灵-8-乙腈,-甲烷磺酸盐。 (8β)-2-Chloro-6-methyl-ergoline-8-acetonitrile,monomethanesulfonate. 2-氯-6-甲基麦角灵-8β-乙腈单甲烷磺酸盐。 2-Chloro-6-methylergoline-8β-acetonitrile monomethanesulfonate. 多巴胺受体激动药,抗肿瘤药。 甲磺酸麦角氯腈。 Lergotrile Mesylate,Lilly-83636. USAN.  |