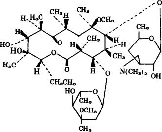
甲红霉素
C38H69NO13=747.96 CAS-81103-11-9 13-乙基-2,4,6,8,10,12-六甲基-6-O-甲基-11,12-二羟-9-氧代-3-(3-羟-4-甲氧基-2,4-二甲基-四氢吡喃-6-基氧)-5,13-羟-4-二甲氨基-6-甲基四氢吡喃-2-基氧)十三烷内酯。 13-Ethyl-2,4,6,8,10,12-hexamethyl-6-O-methyl11,12-dihydroxy-9-oxo-3-(3-hydroxy-4-methoxy-2,4-dimethyl-tetrahydropyran-6-yloxy)-5,13-hydroxy-4-dimethylamino-6-methyltetrahydropyran-2-ylo-xy)tridecanolide. 6-O-甲基红霉素。 6-O-Methylerythromycin. 抗生素类药。 甲氧基红霉素。 Clarithromycin,Abbott-56268,TE-031,KIacid. INN,BAN,USAN.  |