网站首页  词典首页


请输入您要查询的字词:

 

字词 甲脒化学及生物碱的不对称合成
类别 中英文字词句释义及详细解析
释义 甲脒化学及生物碱的不对称合成

含氮化合物的α碳原子受各种活化基团的影响,在强碱(如LDA,BuLi等)的作用下,可失去αH,生成碳负离子,受亲电试剂进攻,再除去活化基团,即形成新的C-C键:

活化基团:G=-N=O,-C(=O)CR3,-P(=O)(NMe2)2,-CH=NR等。

活化基团的作用是:使氰原子带有部分正电荷,增大αH的酸性。通过与碱金属的络合使用1有利于α碳负离子的生成与稳定。

因此,要求活化基团G本身不得带有a酸性质子,与强碱和亲电试剂不起作用,并且易于引入,也易于除去。

亚硝基和酰基皆有活化作用,但亚硝胺有致癌作用,酰胺有难以水解除去之

1980年迈耶斯(A,I.Meyers)以脒代替结构类似的酰胺获得成功。如二甲胺基甲脒,在低温下与强碱(tBuLi)作用后,生成偶极稳定的碳负离子,再与亲电试剂作用,经还原或肼解或水解,很容易得到取代的二级胺:

甲脒法比其它活化基团要灵活方便,用途更广。

它易于由胺生成,也易于除去脒基而得到取代的胺。如果用手性胺形成甲脒,还可用于不对称合成,尤其用于天然存在的生物碱的合成。

非手性甲脒的合成及应用 甲脒可以用以下方法制备:(1)直接用N.N-二甲基甲酰胺二甲基缩醛(DMF-DMA)与一级胺反应,如:

(2)用DMF与硫酸二甲酯生成盐,然后与一级胺反应:

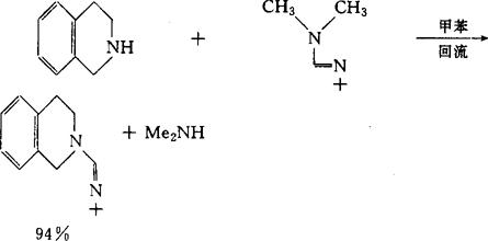
(3)用二甲胺基叔丁基甲脒与其它二级胺在甲苯中回流反应,可得到此二级胺的甲脒:

所得到的甲脒,在强碱作用下生成碳负离子,与亲电试剂作用后可以得到各种α-取代甲脒,经肼解或水解后即得α-取代的二级胺,例如:

1,2,3,4-四氢化异喹啉的甲脒在LDA的作用下,生成的碳负离子与MeI作用,得到1-甲基四氢异喹啉的甲脒,它还可以再次烃基化,生成1,1-二取代四氢异喹啉,即α-季碳化合物:

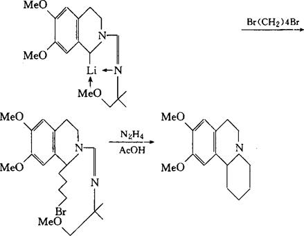
如应用双官能团的亲电试剂,可制得螺环和稠环异喹啉衍生物。例如用Cl(CH2)5I作亲电试剂可得到螺[环已烷-1,1′-(6′,7′-二甲氧基-1′,2′,3′,4′-四氢异喹啉)]。

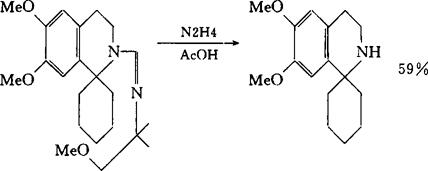
如用1,4-二溴戊烷作亲电试剂,中间产物不用分离,一步反应可制得四氢异喹啉稠环化合物。

手性甲脒的合成与应用 如果以手性胺来制取甲脒,得到的手性甲脒可用在不对称合成中,以制取手性化合物,首先迈耶斯等研究比较了各种手性助剂对产物对映体过量的影响,他们将手性助剂制成四氢异喹啉的甲脒,在与LDA反应后,再和Mel反应,肼解得手性的1-甲基四氢异喹啉,在高效液相色谱手性固定相上测得%ee,各种手性试剂对1-甲基四氢异喹啉%ee的影响如下表所示。

从测得的%ee(HPLC)可以看出,最佳的助剂是缬氨醇的叔丁醚和BISPAD,而最差的是α-苯基乙胺,其对映体过量仅只有≤10%。助剂含醚氧者一般皆有较高的%ee,可见醚氧的络合作用对提高%ee有明显的效果。如以缬氨醇的叔丁醚作为助剂,用各种卤代烃使四氢异喹啉发生1-烃基化,所得产物的%ee均在93以上:

缬氨醇叔丁醚四氢异喹啉甲脒对1-烃基化产率和%ee的影响如下表所示:

从以上所列数据可以看出,虽然手性中心距α-碳有一定距离,但在此甲脒中有适宜作配体的基团,它的络合作用使其有一个为锂化和烃基化所需要的空间排列,也就是说在此手性体系中,由α碳形成的碳锂键会置于一个手性环境中,当它与亲电试剂作用时必有一高度非对映的立体选择性,除去此手性助剂后,便可得到高对映体过量的α烃基胺。

用甲脒法不对称合成天然生物碱 含氮杂环手性甲脒作为不对称合成的媒介,已有了相当出色的成果,合成了四氢异喹啉类、吲哚类、八氢异喹啉类、氢化吡啶和氢化吡咯类生物碱。已合成的各类生物碱及它们的产率和对映体过量列举如下:

(1)1,2,3,4-四氢异喹啉生物碱

(2)吲哚类生物碱

(3)氢化吡啶及氢化吡咯类生物碱

由此可见,用甲脒法合成天然生物碱,具有很高的立体选择性,是成功的不对称合成方法。迈耶斯教授对手性甲脒1-烃基化的反应机制作了研究,已有初步结论,他们正继续深入研究该反应机制,与此同时,还要寻找新的手性助剂和合成季碳类型的螺环生物碱和稠杂环生物碱,以扩展现有的研究成果。

。【参考文献】:

1 Meyers A I,et al. J Amer Chem Soc, 1980,102:7125

2 Meyers A 1,et al. Angew Chem Int Ed Engl, 1984,23:458

3 Meyers A I. Aldrichimica Acta, 1985,18:59

4 Meyers A I, et al. Tetrahedron Lett, 1985,26:3295

5 Meyers A I ,et al. J Amer Chem Soc, 1987,109:1263

6 Meyers A I ,et al. J Heteroeycles, 1989,28:295 Meyers A I, et al. J Org Chem, 1990,55:4218

(北京师范大学杜宝山教授撰;戚慧心审)

随便看

 

离鸟网收录3541549条中英文词条,其功能与新华字典、现代汉语词典、牛津高阶英汉词典等各类中英文词典类似,基本涵盖了全部常用中英文字词句的读音、释义及用法,是语言学习和写作的有利工具。

 

Copyright © 2004-2024 vtrois.com All Rights Reserved
更新时间:2026/5/25 8:45:46