网站首页  词典首页


请输入您要查询的字词:

 

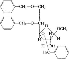
字词 甲苄葡苷
类别 中英文字词句释义及详细解析
释义 甲苄葡苷

C28H32O6=464.56

CAS-55902-93-7

甲基3,5,6-三-O-苄基-D-呋喃葡萄糖苷。

Methyl 3,5,6-tri-O-benzyl-D-glucofuranoside.

甲基-3,5,6-三-O-(苯甲基)-D-呋喃葡萄糖苷。

Methyl-3,5,6-tris-O-(phenylmethyl)-D-glucofuranoside.

消炎药。

Mebenoside,CB 28046.

INN,DCF,USAN.

随便看

 

离鸟网收录3541549条中英文词条,其功能与新华字典、现代汉语词典、牛津高阶英汉词典等各类中英文词典类似,基本涵盖了全部常用中英文字词句的读音、释义及用法,是语言学习和写作的有利工具。

 

Copyright © 2004-2024 vtrois.com All Rights Reserved
更新时间:2026/5/25 15:27:09