网站首页  词典首页


请输入您要查询的字词:

 

字词 甲苯磺酸托氟沙星
类别 中英文字词句释义及详细解析
释义 甲苯磺酸托氟沙星

【别名】:苄磺多氟啶酸

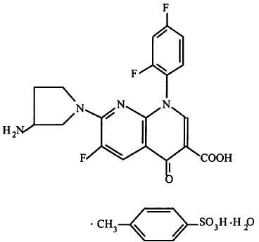
【化学名称】7-(3-氨基-1-吡啶)-6-氟基-1-(2,4-二氟苯基)-1,4-双氢-4-酮基-1,8-二氮杂萘-3-羧酸对甲苯磺酸

【化学结构】

【药理作用】本品为第三代喹诺酮类广谱抗菌药,通过强力抑制脱氧核糖转录酶阻止细菌的DNA复制,达到杀菌作用。在各类临床分离菌株实验中,均显示很强的抗菌活性,特别是对G+菌如葡萄球菌、链球菌、肺炎球菌的抗菌力为氧氟沙星、诺氟沙星8~16倍;对G-菌如大肠杆菌、克雷伯菌、产气杆菌、变形杆菌、沙门菌属、志贺菌属、枸橼酸杆菌等肠杆菌科细菌的MIC90为0.06~1μg/ml。其抗菌活性与环丙沙星相似或略差,但明显优于氧氟沙星、诺氟沙星,也优于其他新喹诺酮类药物如司巴沙星等;对流感杆菌、绿脓杆菌、厌氧菌的抗菌力比氧氟沙星、诺氟沙星要强,对沙眼衣原体的抗菌力比氧氟沙星强4~16倍,也优于头孢三嗪、大观霉素,与强力霉素相当,但低于克拉霉素、米诺霉素。本品对分枝杆菌的活性要大于大环内酯类药物,而对耐青霉素类菌株的活性要高于β-内酰胺类药物。另据一项测定本品、罗红霉素、甲硝唑、阿奇霉素、头孢西丁对60株厌氧菌的体外抗菌活性的实验表明,本品的抗菌活性最好,其MIC90依次为2,16,16,32,32μg/ml。

本品急性毒性很低,长期毒性实验表明,对脏器无明显影响,无致畸、致突变,较为安全。

【药代动力学】健康成人饭后单次口服本品150,300 mg时Tmax约1.5~3h,Cmax分别为0.65和108μg/ml,t1/2约3.3~3.6h。本品服用后在口腔组织、胆汁、胆囊组织、痰、皮肤、耳鼻喉组织、子宫及附件组织、前列腺组织、前列腺液、附睾组织均可达到治疗浓度,且无药物蓄积作用。本品蛋白结合率为35.5% ~39.9% ,24h内尿中回收率为45.8% ,尿中浓度可达56.0μg/ml。本品大部分以原形物从尿中及粪便中排泄,其次为葡糖醛酸结合物,24h之内的尿中总回收率为50.7%(包括代谢物在内)。

【适应证】呼吸道系统:咽喉炎、扁桃体炎、急性支气管炎、肺炎等;泌尿系统:肾盂肾炎、膀胱炎、淋菌性尿道炎、非淋菌性尿道炎等;胃肠道感染:胆管炎、胆囊炎、细菌性痢疾等;皮肤软组织感染:丹毒、淋巴管炎、皮下脓肿等;其他组织感染:中耳炎、外耳炎、牙周炎、眼睑炎等。

【剂量与用法】用于治疗单纯性尿路感染,150~450 mg/d,分2~3次服,疗程7~21d。用于胆道感染,450~600 mg/d,分3次服,疗程7~14d。用于眼、耳鼻喉感染,150~450 mg/d,分2~3次服,疗程3~10d。用于皮肤软组织感染,450~600 mg/d,分2~3次服,疗程7~14d。治疗其他尿路感染、呼吸道感染300~600 mg/d,分2~3次服,疗程3~7d。

【临床评价】据报道,口服本品治疗各类感染2903例,结果显示,本品对呼吸道、泌尿生殖道、胆道、皮肤软组织及眼、耳、鼻、喉、口腔等感染具有良好疗效,有效率为82.6% ~96.2% ,细菌清除率为76.4% ~92.3% 。其中对淋球菌、卡他莫拉菌的清除率为100% ;对流感杆菌、大多数肠杆菌科细菌、金葡球菌、表皮葡萄菌、肺炎球菌、链球菌、粪肠球菌、脆弱类杆菌、消化链球菌的细菌清除率为96.7% ~91.7% ;对不动杆菌属的细菌清除率为87% ;对沙雷菌属及绿脓杆菌的作用较差,清除率分别为61 % 和45.5% 。

另据与氧氟沙星双盲试验比较表明,本品对呼吸道感染有效率与氧氟沙星相当,分别为82.9% 和82.0% ;对复杂性尿路感染的有效率分别为79.1% 和66.1% ;对皮肤软组织感染,两组总改善率分别为88.0% 和89.8% ,无明显差异。

【不良反应】发生率约为3.3% ,均呈一过性。主要为胃肠道失调,轻度腹部不适。临床检验有转氨酶及嗜酸性细胞升高现象。偶有皮疹、皮肤瘙痒等过敏症,也可见胃肠道不适,表现为上中腹不适、腹疼、口干、便泌、腹泻、食欲不振等。神经系统可见头昏、失眠、偶有倦怠感。

【注意事项】孕妇及16岁以下儿童及骨髓发育不良者不宜应用;有中枢神经系统疾病或癫痫病史者不宜应用;重症肾功能障碍者慎用。避免与苯醋酸类、联苯丁酮酸等非类固醇类消炎止痛药同时服用,以免引起痉挛的可能。避免与含钙、镁的抗酸剂或铁制剂同时服用,以免本品效果减弱。对本品和喹诺酮类药品有过敏史者禁用。

【制剂规格】片剂:每片含本品150 mg。

【生产厂家】日本Toyama公司。中国珠海经济特区生物化学制药厂。

随便看

 

离鸟网收录3541549条中英文词条,其功能与新华字典、现代汉语词典、牛津高阶英汉词典等各类中英文词典类似,基本涵盖了全部常用中英文字词句的读音、释义及用法,是语言学习和写作的有利工具。

 

Copyright © 2004-2024 vtrois.com All Rights Reserved
更新时间:2026/4/9 9:28:33