网站首页  词典首页


请输入您要查询的字词:

 

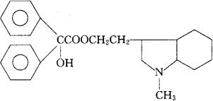
字词 甲茚扎特
类别 中英文字词句释义及详细解析
释义 甲茚扎特

C25H31NO3=393.52

CAS-15687-33-9

二苯乙醇酸2-(六氢-1-甲基-3-二氢吲哚基)乙酯。

2-(Hexahydro-1-methyl-3-indolinyl)ethyl benzilate.

解痉药。

Metindizate,Methindizate.

INN,BAN(Methindizate),USAN,USP,USSRP.

随便看

 

离鸟网收录3541549条中英文词条,其功能与新华字典、现代汉语词典、牛津高阶英汉词典等各类中英文词典类似,基本涵盖了全部常用中英文字词句的读音、释义及用法,是语言学习和写作的有利工具。

 

Copyright © 2004-2024 vtrois.com All Rights Reserved
更新时间:2026/4/9 4:06:23